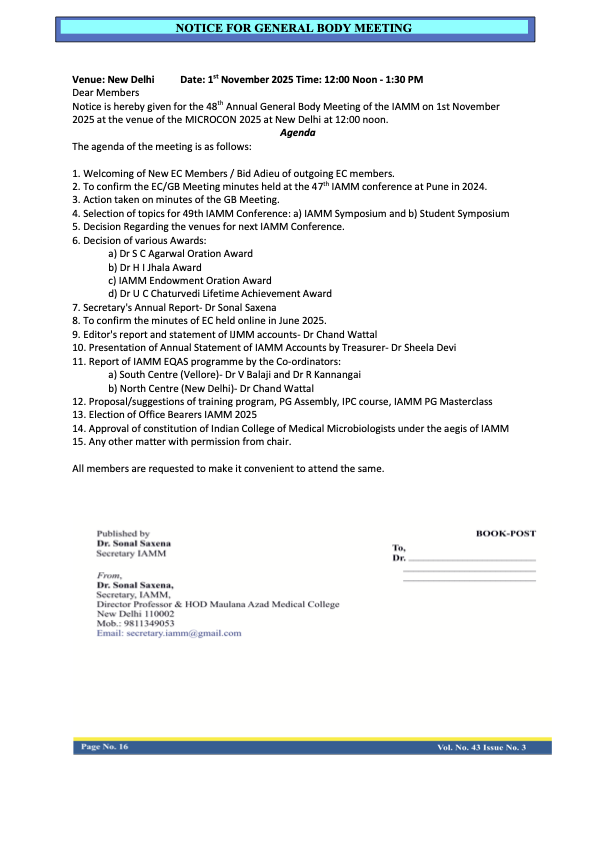
Amendment to constitution
<strong>AMENDMENTS TO THE CONSTITUTION (Approved by GBM, 2024)</strong> <strong>(IAMM NEWSLETTER, JAN. 2025)</strong> b) The Executive Council shall consist of the President, President Elect, Secretary Treasurer, Editor, Joint Secretary, Associate Editor and a minimum of six or maximum of nine members. When number of Council Members reaches eleven, the quorum shall be six. In special circumstances additional members may be co-opted to the Executive Council, but they shall not have the right to vote.<br /> <strong>INDIAN COLLEGE OF MEDICAL MICROBIOLOGISTS </strong> Indian College of Medical Microbiologists thereafter known as the ICMM would be under the aegis of IAMM as an academic body with an objective of developing and imparting trainings, fellowships, and continuing medical education in microbiology.

